-
Климатический агрегат т-образного типа - это сложная система для обработки воздуха, состоящая из набора функциональных секций.
При использовании жидкостных теплообменников в агрегатах климатической серии TIREX узлы регулирования теплоносителя могут быть двух исполнений - с узлом, встроенным в корпус АК (встроенный узел регулирования) или вынесенным за пределы корпуса (выносной узел регулирования).
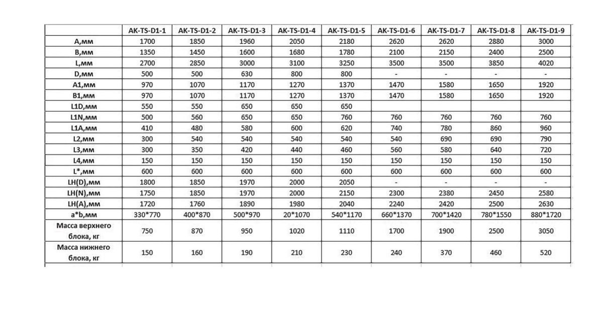
ОСНОВНЫЕ ПАРАМЕТРЫ И ХАРАКТЕРИСТИКИ AK-TS-D
Расчет стоимости за 60 минут
Пришлем вам предложение по заявке

Похожие товары
Арт.:
Доступен для заказа
Установки центрального кондиционирования
Центральные кондиционеры северного исполнения ARKTIK
Обратная связь